geometría
Averigua cuánto mide la altura de un rectángulo de
de superficie y
de base
SOLUCIÓN
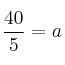
Area = Base x altura
![]()


La altura mide ![]()
Averigua cuánto mide la altura de un rectángulo de
de superficie y
de base
Area = Base x altura
![]()


La altura mide ![]()