fracciones operaciones

, por dani

Calcula y simplifica:
\frac{1}{2} + \frac{2}{3} - 3

SOLUCIÓN:

\frac{1}{2} + \frac{2}{3} - 3

m.c.m.(2,3,1)=6

\frac{\color{blue}{3}\color{black}{\cdot 1}}{6}+\frac{\color{blue}{2}\color{black}{\cdot 2}}{6}-\frac{\color{blue}{6}\color{black}{\cdot 3}}{6}=

=\frac{3}{6}+\frac{4}{6}-\frac{18}{6}=

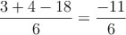
 \frac{3+4-18}{6}=\frac{-11}{6}