fracciones operaciones

, por dani

Calcula y simplifica:
 1 - \frac{3}{5} \left (  \frac{2}{3} + \frac{1}{2} \right )

SOLUCIÓN:

 1 - \frac{3}{5} \left (  \frac{2}{3} + \frac{1}{2} \right )
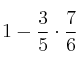
 1 - \frac{3}{5} \cdot  \frac{7}{6}
 1 - \frac{21}{30}=\frac{30-21}{30}=\frac{9}{30}=\frac{3}{10}