factorizar polinomios
Factoriza los siguientes polinomios:
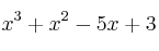
– a)
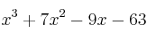
– b) ![]()
SOLUCIÓN
Factorización de:
![]()
No hay factor común distinto de 1.
Paso 2 — Ruffini:
Los candidatos a raíces enteras son los divisores del término independiente (3):
![]()
![]()
![\polyhornerscheme[x=-3, resultstyle=\color{red},resultbottomrule,resultleftrule,resultrightrule]{x^3+x^2-5x+3} \polyhornerscheme[x=-3, resultstyle=\color{red},resultbottomrule,resultleftrule,resultrightrule]{x^3+x^2-5x+3}](local/cache-TeX/3c61955aa0d14ad89dac7cdb498581d2.png)
![]()
![\polyhornerscheme[x=1, resultstyle=\color{red},resultbottomrule,resultleftrule,resultrightrule]{x^2-2x+1} \polyhornerscheme[x=1, resultstyle=\color{red},resultbottomrule,resultleftrule,resultrightrule]{x^2-2x+1}](local/cache-TeX/f1a8033862790a8526362b364f6d12cf.png)
![]()
![\polyhornerscheme[x=1, resultstyle=\color{red},resultbottomrule,resultleftrule,resultrightrule]{x-1} \polyhornerscheme[x=1, resultstyle=\color{red},resultbottomrule,resultleftrule,resultrightrule]{x-1}](local/cache-TeX/426ee5d1e83aafb949dbb566e444900b.png)
Resultado final de la factorización:
![]()
Factorización de:
![]()
No hay factor común distinto de 1.
Paso 2 — Ruffini:
Los candidatos a raíces enteras son los divisores del término independiente (-63):
![]()
![]()
![\polyhornerscheme[x=-7, resultstyle=\color{red},resultbottomrule,resultleftrule,resultrightrule]{x^3+7x^2-9x-63} \polyhornerscheme[x=-7, resultstyle=\color{red},resultbottomrule,resultleftrule,resultrightrule]{x^3+7x^2-9x-63}](local/cache-TeX/b8965c5f0bba1e8567e2a911ea627326.png)
![]()
![\polyhornerscheme[x=-3, resultstyle=\color{red},resultbottomrule,resultleftrule,resultrightrule]{x^2-9} \polyhornerscheme[x=-3, resultstyle=\color{red},resultbottomrule,resultleftrule,resultrightrule]{x^2-9}](local/cache-TeX/b9b5b5bf33c499ad1c30543cf03d2d48.png)
![]()
![\polyhornerscheme[x=3, resultstyle=\color{red},resultbottomrule,resultleftrule,resultrightrule]{x-3} \polyhornerscheme[x=3, resultstyle=\color{red},resultbottomrule,resultleftrule,resultrightrule]{x-3}](local/cache-TeX/2a9dc21725355ecfe24e150f90b86fb3.png)
Resultado final de la factorización:
![]()