Suma, resta y producto de números enteros

, por dani

Calcula:

 a) 6 \cdot (-3) + 5 \cdot (-2)+(-5) \cdot (-4) =
 b) (-5) \cdot (-4) =

SOLUCIÓN:

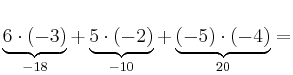
 a)

6 \cdot (-3) + 5 \cdot (-2)+(-5) \cdot (-4) =


Debemos hacer los productos primero

\underbrace{6 \cdot (-3)}_{-18} + \underbrace{5 \cdot (-2)}_{-10}+\underbrace{(-5) \cdot (-4)}_{20} =


-18 -10+20 = -8

 b) (-5) \cdot (-4) = 20