ecuaciones segundo grado incompletas
Resuelve las siguientes ecuaciones sin aplicar la fórmula general:
– a)
– b) ![]()
SOLUCIÓN:
– a) ![]()
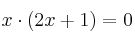
Las ecuaciones de segundo grado incompletas a las que falta el término "c" se resuelven sacando factor común "x"
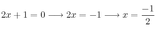
![]()
![]()
De donde:
–
–
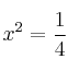
– b) ![]()
Las ecuaciones de segundo grado incompletas a las que falta el término "b" se resuelven despejando ![]()
![]()
![]()


Matemáticas IES