ecuaciones segundo grado
Resuelve la ecuación: ![]()
SOLUCIÓN
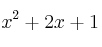
![]()
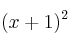
Para quitar el paréntesis
podemos usar las igualdades notables, o bien hacer el producto
. En ambos casos obtendremos como resultado ![]()
![]()
![]()
![]()
![]()
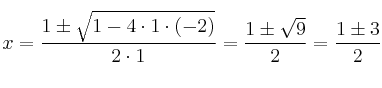
Aplicamos la fórmula de las ecuaciones de segundo grado

Las soluciones son:
, ![]()
Mensajes
3 de diciembre de 2006, 11:59, por dani