ecuaciones segundo grado
Resuelve la ecuación ![]()
SOLUCIÓN
Resolvemos la ecuación:
![]()
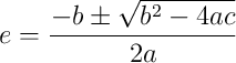
Aplicamos la fórmula general:

Los coeficientes son: ![]()
Sustituimos:

El discriminante
:
La ecuación no tiene soluciones reales
Resuelve la ecuación ![]()
Resolvemos la ecuación:
![]()
Aplicamos la fórmula general:

Los coeficientes son: ![]()
Sustituimos:

El discriminante
:
La ecuación no tiene soluciones reales