ecuaciones segundo grado denominadores
Resuelve la ecuación:

SOLUCIÓN
Resolvemos la ecuación:

Primero eliminamos los paréntesis:

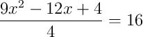
Ponemos 1 como denominador a los términos sin denominador:

El mínimo común múltiplo de los denominadores es mcm(4) = 4.
Multiplicamos todos los términos por 4 para eliminar los denominadores:
![]()
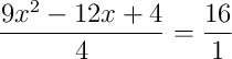
Eliminamos los paréntesis:
![]()
Agrupamos y ordenamos (pasamos todo al lado izquierdo):
![]()
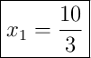
Aplicamos la fórmula general:

Los coeficientes son: ![]()
Sustituimos:



![]()
Mensajes
3 de diciembre de 2006, 12:05, por dani