ecuaciones segundo grado
Resuelve la ecuación: ![]()
SOLUCIÓN
Resolvemos la ecuación:
![]()
Eliminamos los paréntesis:
![]()
Agrupamos y ordenamos (pasamos todo al lado izquierdo):
![]()
Aplicamos la fórmula general:

Los coeficientes son: ![]()
Sustituimos:


![]()

Resuelve la ecuación: ![]()
Resolvemos la ecuación:
![]()
Eliminamos los paréntesis:
![]()
Agrupamos y ordenamos (pasamos todo al lado izquierdo):
![]()
Aplicamos la fórmula general:

Los coeficientes son: ![]()
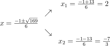
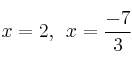
Sustituimos:


![]()

Mensajes
3 de diciembre de 2006, 12:01, por dani