ecuaciones segundo grado incompletas
Resuelve las siguientes ecuaciones sin aplicar la fórmula general:
– a)
– b) ![]()
SOLUCIÓN:
– a) ![]()
![]()
![]()


– b) ![]()
![]()

![]()
![]()
No tiene soluciones reales
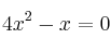
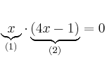
Resuelve las siguientes ecuaciones sin aplicar la fórmula general:
– a)
– b) ![]()
SOLUCIÓN:
– a) ![]()
![]()
![]()


– b) ![]()
![]()

![]()
![]()