ecuaciones primer grado denominadores
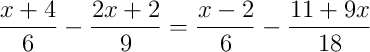
Resuelve la ecuación:

SOLUCIÓN
Resolvemos la ecuación:

Primero eliminamos los paréntesis:

El mínimo común múltiplo de los denominadores es mcm(6, 9, 18) = 18.
Multiplicamos todos los términos por 18 para eliminar los denominadores:
![]()
Eliminamos los paréntesis multiplicando por el factor que hay delante (o detrás):
![]()
Distinguimos los términos con "x" y los términos sin "x"
![]()
Colocamos a un lado los que llevan "x" y al otro los números
![]()
Agrupamos términos
![]()
Despejamos "x"

![]()
Mensajes
3 de diciembre de 2006, 12:04, por dani