ecuaciones irracionales
Resuelve la ecuación: ![]()
SOLUCIÓN:
![]()
Se trata de una ecuación irracional.
Primero aislamos la raíz
![]()
Ahora elevamos al cuadrado ambos miembros para eliminar la reíz
![]()
![]()
![]()
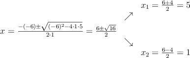
Obtenemos una ecuación de segundo grado. La ordenamos y aplicamos la fórmula
![]()

Recordemos que en las ecuaciones irracionales hay que verificar las soluciones en la ecuación original
NO es válida
SI es válida
Por tanto, la única solución de la ecuación es 
Matemáticas IES