ecuaciones irracionales
![]()
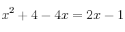
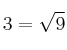
Elevamos al cuadrado ambos miembros para eliminar la raíz

![]()
![]()
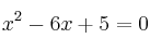
Resolvemos la ecuación de 2º grado

Comprobamos las soluciones:
Para ![]()
![]()
![]()
NO es solución válida
Para ![]()
![]()
![]()
SI es solución válida
Solución 
Resuelve la ecuación ![]()
![]()

![]()
![]()

Comprobamos las soluciones:
Para ![]()
![]()
![]()
NO es solución válida
Para ![]()
![]()
![]()
SI es solución válida
Solución 
Resuelve la ecuación ![]()