ecuaciones grado2 denominadores
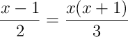
Resuelve la ecuación: 
SOLUCIÓN
Resolvemos la ecuación:

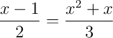
Primero eliminamos los paréntesis:

El mínimo común múltiplo de los denominadores es mcm(2, 3) = 6.
Multiplicamos todos los términos por 6 para eliminar los denominadores:
![]()
Eliminamos los paréntesis:
![]()
Agrupamos y ordenamos (pasamos todo al lado izquierdo):
![]()
Aplicamos la fórmula general:

Los coeficientes son: ![]()
Sustituimos:

El discriminante
:
La ecuación no tiene soluciones reales