Navega sin publicidad Regístrate GRATIS

ecuaciones grado1 denominadores

💬 2

  ecuacionesecuaciones con denominadoresecuaciones de primer gradoEjercicios_ResueltosPIZARRA

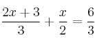
Resuelve la ecuación:

\frac{2x+3}{3}+ \frac{x}{2} = \frac{6}{3}


SOLUCIÓN

Resolvemos la ecuación:

\frac{2x+3}{3}+\frac{x}{2}=\frac{6}{3}

El mínimo común múltiplo de los denominadores es mcm(2, 3) = 6.

Multiplicamos todos los términos por 6 para eliminar los denominadores:

2(2x+3)+3x=12

Eliminamos los paréntesis multiplicando por el factor que hay delante (o detrás):

4x+6+3x = 12

Distinguimos los términos con "x" y los términos sin "x"

\color[RGB]{192,0,0}{+4x}\color[RGB]{0,0,192}{+6}\color[RGB]{192,0,0}{+3x} = \color[RGB]{0,0,192}{+12}

Colocamos a un lado los que llevan "x" y al otro los números

4x+3x = -6+12

Agrupamos términos

7x = 6

Despejamos "x"

x = \frac{6}{7}

\boxed{x = \frac{6}{7}}

Comentar el ejercicio

Mensajes