Navega sin publicidad Regístrate GRATIS

ecuaciones grado1 denominadores

ecuacionesecuaciones con denominadoresecuaciones de primer gradoEjercicios_Resueltos

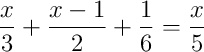
Resuelve la ecuación:

 \frac{x}{3} + \frac{x-1}{2} + \frac{1}{6} = \frac{x}{5}

SOLUCIÓN

Resolvemos la ecuación:

\frac{x}{3}+\frac{x-1}{2}+\frac{1}{6}=\frac{x}{5}

El mínimo común múltiplo de los denominadores es mcm(2, 3, 5, 6) = 30.

Multiplicamos todos los términos por 30 para eliminar los denominadores:

10x+15(x-1)+5=6x

Eliminamos los paréntesis multiplicando por el factor que hay delante (o detrás):

10x+15x-15+5 = 6x

Distinguimos los términos con "x" y los términos sin "x"

\color[RGB]{192,0,0}{+10x}\color[RGB]{192,0,0}{+15x}\color[RGB]{0,0,192}{-15}\color[RGB]{0,0,192}{+5} = \color[RGB]{192,0,0}{+6x}

Colocamos a un lado los que llevan "x" y al otro los números

10x+15x-6x = 15-5

Agrupamos términos

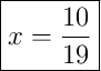
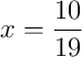
19x = 10

Despejamos "x"

x = \frac{10}{19}

\boxed{x = \frac{10}{19}}

Comentar el ejercicio