ecuaciones grado1
Resuelve las ecuaciones:
– a)
– b) ![]()
SOLUCIÓN
Resolvemos la ecuación:
![]()
Distinguimos los términos con "x" y los términos sin "x"
![]()
Colocamos a un lado los que llevan "x" y al otro los números
![]()
Agrupamos términos
![]()
![]()
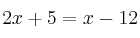
Resolvemos la ecuación:
![]()
Distinguimos los términos con "x" y los términos sin "x"
![]()
Colocamos a un lado los que llevan "x" y al otro los números
![]()
Agrupamos términos
![]()
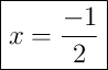
Despejamos "x"


Mensajes
15 de febrero de 2007, 00:52, por dani
–


–




8 de abril de 2014, 20:48
En las ecuaciones no hace falta decir 0’5 sino con que pongas: x= 1/2
21 de agosto de 2014, 03:02
Hola, cortito no más por que el 7 baja al 2do grupo y no al 1er grupo con la x?
22 de noviembre de 2013, 00:46, por Yanet
4x+9+x=24 ?? como es
22 de febrero de 2014, 18:32
4X+X = 24-9
5X=15
X=15%5
X=3