ecuaciones bicuadradas
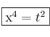
Resuelve la ecuación: ![]()
SOLUCIÓN
![]()
Se trata de una ecuación bicuadrada: ecuación de 4º grado que no tiene término en
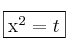
Para resolverla por el método de las bicuadradas tenemos que hacer el siguiente cambio de variable:
con lo cual 
![]()
![]()
Resolvemos la ecuación de 2º grado en la variable "t"

Ahora deshacemos el cambio de variable

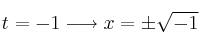
– Si
– Si
Las soluciones de la ecuación son
y 