ecuaciones bicuadradas
Resuelve la ecuación: ![]()
SOLUCIÓN
Resolvemos la ecuación bicuadrada:
![]()
Hacemos el cambio de variable
(con
):
![]()
Calculamos el discriminante:
![]()
Las soluciones para
son:

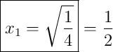
Deshacemos el cambio de variable
:
Como
: 



→ no hay soluciones reales para ![]()