Trigonometría
Calcula las razones trigonométricas de todos los ángulos de un triángulo de lados 12, 13 y 5
SOLUCIÓN
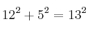
En primer lugar comprobamos que es un triángulo rectángulo (para ello debe cumplir el teorema de Pitágoras)
![]()
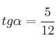
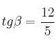
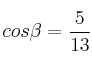
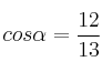
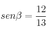
Una vez tenemos el dibujo del triángulo, las razones serían:


En cuanto al ángulo recto, su seno es 1 y su coseno es 0 (no tiene tangente)