Trigonometría
Calcula seno y coseno de un ángulo del tercer cuadrante sabiendo que su tangente es ![]()
SOLUCIÓN
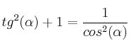
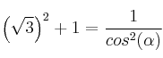
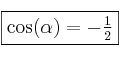
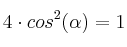
Conociendo la tangente, se puede hallar el coseno con la fórmula:




![]()


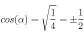
Como es del tercer cuadrante el coseno es negativo, por tanto:
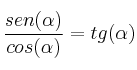
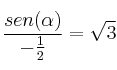
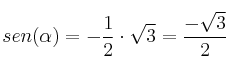
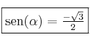
De la fórmula
se puede obtener el seno puesto que conocemos coseno y tangente



