Trigonometría
Sabiendo que
y que
, calcula las demás razones trigonométricas del ángulo ![]()
SOLUCIÓN
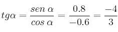
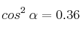
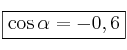
Usando la fórmula
tenemos:
Si despejamos el coseno
Toamos la solución negativa porque
(en el cuadrante_II el coseno es negativo)

Sabiendo que
y que
, calcula las demás razones trigonométricas del ángulo ![]()
Usando la fórmula
tenemos:
Si despejamos el coseno
Toamos la solución negativa porque
(en el cuadrante_II el coseno es negativo)

Mensajes
17 de octubre de 2016, 09:49, por don pepito de los palotes
este ejercicio es el mas dificil de toda la pagina suerte la necisitareis. ;)
14 de diciembre de 2020, 04:51, por Anónimo
Está muy fácil. Solo hay que conocer los signos de las funciones en cada cuadrante y la identidad pitagórica