Teorema de Pitágoras
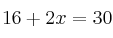
Calcula lo que mide la diagonal de un rectángulo sabiendo que uno de sus lados mide 8 cm y que su perímetro es de 30 cm
SOLUCIÓN:
Perímetro (suma de sus lados) es 30 cm
![]()
![]()
![]()
![]()

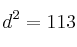
Podemos aplicar el teorema de Pitágoras al triángulo rectángulo azul
![]()
![]()
![]()

La diagonal mide
, aproximadamente ![]()
Matemáticas IES