Superficie y perímetro
Halla el perímetro y el área de la siguiente figura:
SOLUCIÓN:
Para calcular el área dividimos la figura en rectángulo + triángulo

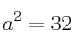
Para calcular el perímetro necesitamos conocer lo que mide el lado "a" (lo calculamos aplicando el teorema de Pitágoras)
![]()
![]()
![]()

Entonces el perímetro será:

Matemáticas IES