Superficie de figura plana 4008
Calcula el valor de x para que la superficie sombreada tenga área igual a 100.
SOLUCIÓN:
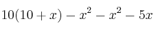
Podemos calcular el área sombreada como el área del rectángulo grande menos el área de las zonas blancas.
Área del rectángulo = ![]()
Área del cuadrado pequeño = ![]()
Área del rectángulo pequeño = ![]()
Por tanto el área sombreada será:
![]()
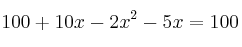
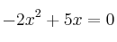
Como el área tiene que vale 100, igualamos a 100
![]()
![]()
![]()
Ecuación de segundo grado que resolvemos y obtenemos como soluciones:
Como "x" es una distancia tenemos que descartar valores nulos o negativos.
Por tanto la solución es

Matemáticas IES