Sucesiones. Término general
Calcula el término general de la sucesión

SOLUCIÓN
Podemos hacerlo distinguiendo dos sucesiones:
– la sucesión de los numeradores
– la sucesión de los denominadores
Ponemos "1" al que no tiene denominador

– La sucesión de los numeradores sería:
![]()
Se trata de una progresión aritmética de diferencia
Podemos comprobar que cada término es el anterior sumándole 2.
Aplicamos la fórmula del termino general de una progresión aritmética

Sustituimos en la fórmula la diferencia (
![]()
![]()
![]()
– La sucesión de los numeradores sería:
![]()
Su término general es
Si no somos capaces de verlo mentalmente, entonces seguimos el esquema tradicional:
Se trata de una progresión aritmética de diferencia
Puesto que cada término es el anterior sumándole 1.
Aplicamos la fórmula

Sustituimos en la fórmula la diferencia (
![]()
![]()
![]()
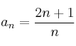
Entonces el término general de la sucesión dada por fracciones será:

Mensajes
16 de julio de 2015, 00:25, por Dayanna
cuando se empieza desde 1 es : 2n+1/n
cuando se empieza en 0 es : 2n+3/n+1