Semejanza-Thales
Averigua la altura de una casa que proyecta una sombra de 68 m. sabiendo que en el mismo instante, una persona de 2 m. de alta, proyecta una sombre de 165 cm.
SOLUCIÓN
Son dos triángulos rectángulos (ambos tienen ángulo recto).
El ángulo
es el mismo (representa la inclinación de los rayos sobre la horizontal).
El tercer ángulo debe ser también igual (para que se cumpla que la suma de los tres de 180º)
Por tanto, se trata de triángulos semejantes (pues sus 3 ángulos homólogos son iguales).
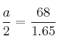
Entonces sus lados serán proporcionales:

![]()

Mensajes
18 de marzo de 2020, 18:41, por Alicia 16 años :)
Está mal resuelto, el resultado sería 56,1m.
Sería 1.65 por 68, y el resultante de esa operación entre 2.
18 de marzo de 2020, 19:03, por dani
Estaban cambiados los daos del enunciado.
Ya está modificado.
Gracias por avisar.