Selectividad Andalucía 2015-3-B3
En una urna A hay 8 bolas verdes y 6 rojas. En otra urna B hay 4 bolas verdes, 5 rojas y 1 negra. Se lanza un dado, si sale un número menor que 3 se saca una bola de la urna A, y si sale mayor o igual que 3 se saca una bola de la urna B.
– a) Calcule la probabilidad de que la bola sea verde si ha salido un 4.
– b) Calcule la probabilidad de que la bola elegida sea roja.
– c) Sabiendo que ha salido una bola verde, ¿cuál es la probabilidad de que sea de la urna A?
SOLUCIÓN
Al lanzar un dado el Espacio muestral sería ![]()
La probabilidad de sacar un número menor que 3 es
y la de sacar un número mayor que 3 sería ![]()
Por tanto las probabilidades de elegir cada urna serían:
y 
Ahora analizamos cada una de las urnas y la probabilidad de cada uno de los colores de bolas:
– a) Calcule la probabilidad de que la bola sea verde si ha salido un 4
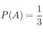
Si ha salido 4, sabemos que tenemos que usar la urna B, por tanto la probabilidad de bola verde en la urna B es:

– b) Calcule la probabilidad de que la bola elegida sea roja.
Para ello hacemos un diagrama de árbol
Para calcular P(R) sumamos todas las rutas que terminen en bola Roja (lo que se conoce matemáticamente como "Probabilidad Total")

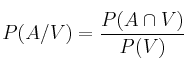
– c) Sabiendo que ha salido una bola verde, ¿cuál es la probabilidad de que sea de la urna A?
Esto matemáticamente se conoce como "Teorema de Bayes", pero lo vamos a resolver como una probabilidad condicionada (como si no conociésemos el Teoerema de Bayes, aunque en realidad lo estaremos aplicando).
Nos piden
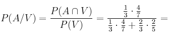
, que con la fórmula de la Probabiidad condicionada sería:

Para calcular el numerador seguimos la ruta ![]()
Para calcular el denominador P(V) comprobamos si ya está calculada en un apartado anterior (o bien su contrario). De no ser así, lo calculamos sumando todas las rutas del árbol que acaben en V.
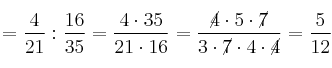
Tendríamos por tanto:


