Selectividad Andalucía 2013-6-A3
El 55% de los alumnos de un centro docente utiliza en su desplazamiento transporte público, el 30% usa vehículo propio y el resto va andando. El 65% de los que utilizan transporte público son mujeres, el 70% de los que usan vehículo propio son hombres y el 52% de los que van andando son mujeres.
– a) Elegido al azar un alumno de ese centro, calcule la probabilidad de que sea hombre.
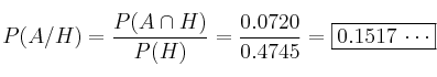
– b) Elegido al azar un hombre, alumno de ese centro, ¿cuál es la probabilidad de que vaya andando?
SOLUCIÓN
Considerando los sucesos:
= “usar transporte público”
= “usar vehículo propio”
= “ir andando”
= “ser mujer"
= “ser hombre"
Podemos construir el siguiente diagrama de árbol:
– a)
– b) 