Selectividad Andalucía 2013-4-B3
Datos que aporta el problema:
 
 y 
 independientes 
![]()
– a)  
Tenemos dos incógnitas, por tanto usar otra fórmula, u obtener otra ecuación para formar un sistema.
Puesto que nos da la probabilidad de la unión, vamos a usar la fórmula de la unión:
 
Volvemos a tener dos incógnitas, pero como son las mismas que antes podemos formar un sistema de 2 ecuaciones con 2 incógnitas:
![]()
La incógnita 
 está despejada en la primera ecuación, por tanto, podemos sustituir por su valor en la segunda ecuación y nos queda:
![]()
Resolviendo obtenemos que 
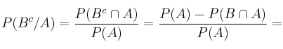
– b) 

– c) 
 Son compatibles
De los sucesos independientes 
 y 
 se sabe que 
 y ![]()
– a) Halle la probabilidad de 
– b) Halle la probabilidad de que no se verifique 
 si se ha verificado 
– c) ¿Son incompatibles los sucesos 
 y 
? 
 Matemáticas IES