Selectividad Andalucía 2013-4-A3
Un Centro de Salud propone dos terapias, A y B, para dejar de fumar. De las personas que acuden al Centro para dejar de fumar, el 45 % elige la terapia A, y el resto la B. Después de un año el 70 % de los que siguieron la terapia A y el 80 % de los que siguieron la B no han vuelto a fumar.
Se elige al azar un usuario del Centro que siguió una de las dos terapias:
– a) Calcule la probabilidad de que después de un año no haya vuelto a fumar.
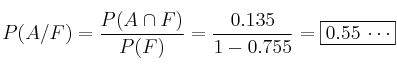
– b) Si transcurrido un año esa persona sigue sin fumar, calcule la probabilidad de que hubiera seguido la terapia A.
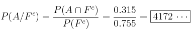
– c) Si transcurrido un año esa persona ha vuelto a fumar, calcule la probabilidad de que hubiera seguido la terapia A
SOLUCIÓN
– a)
– b)
– c) 
Mensajes
3 de abril de 2017, 17:36, por lucia
hola en la pregunta b seria 0’4172