Selectividad Andalucía 2006-1-B3II
andalucíaEjercicios_Resueltosestadísticaestimación_puntualinferenciaintervalo_confianza_mediaMatemat_Soc_Andalucía_2006selectividad
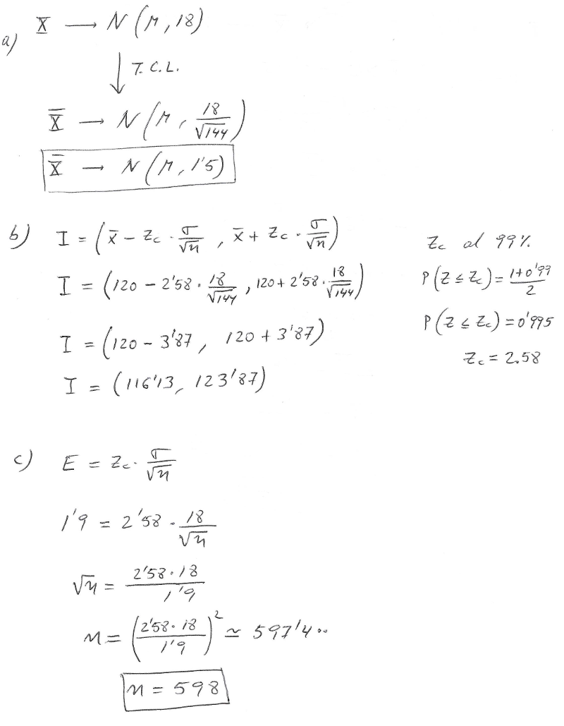
El gasto anual, en videojuegos, de los jóvenes de una ciudad sigue una ley Normal de media desconocida
y desviación típica 18 euros. Elegida, al azar, una muestra de 144 jóvenes se ha obtenido un gasto medio de 120 euros.
– (a) Indique la distribución de las medias de las muestras de tamaño
– (b) Determine un intervalo de confianza, al 99 %, para el gasto medio en videojuegos de los jóvenes de esa ciudad.
– (c) ¿Qué tamaño muestral mínimo deberíamos tomar para, con la misma confianza, obtener un error menor que 1.9?
