Selectividad Andalucía 2004-3-A2

, por dani

Calcule las derivadas de las siguientes funciones (no es necesario simplificar el resultado):

 a) f(x)=\frac{3x-1}{x} - (5x-x^2)^2
 b) g(x)=(x^2-1) L x
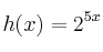
 c) h(x)=2^{5x}
 d) i(x)=(x^3-6x) (x^2+1)^3

SOLUCIÓN:

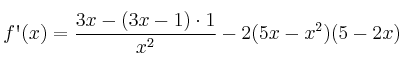
 a) f\textsc{\char13}(x)=\frac{3x-(3x-1) \cdot 1}{x^2} - 2(5x-x^2) (5-2x)
 b) g\textsc{\char13}(x)=2x L x + (x^2-1) \frac{1}{x}
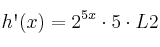
 c) h\textsc{\char13}(x)=2^{5x} \cdot 5 \cdot L 2
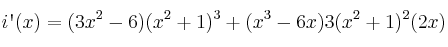
 d) i\textsc{\char13}(x)=(3x^2-6) (x^2+1)^3 + (x^3-6x) 3 (x^2+1)^2 (2x)