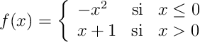
Representar Funciones a Trozos
Representa gráficamente la función:

SOLUCIÓN
Representamos la función a trozos:

Se trata de una función con 2 trozos. El primer trozo es una parábola (cuadrática) con dominio
. El segundo trozo es una función lineal con dominio
.
Dominio de cada trozo:
Primer trozo (Azul):
para ![]()
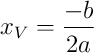
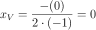
Paso 1 · Vértice
La abscisa del vértice: 
Sustituimos
:

La ordenada: ![]()
![]()
Paso 2 · Orientación
Como
, la parábola abre hacia abajo
.
El vértice es el punto más alto de la curva.
Paso 3 · Cortes con los ejes
Corte con el eje
(hacemos
):
![]()
Cortes con el eje
— igualamos
:
![]()
Aplicamos la fórmula general:

Con
:

El discriminante
: la parábola es tangente al eje
en el vértice.
![]()
→
en el dominio, se dibuja.
Paso 4 · Extremos del dominio
Extremo izquierdo
: la función se extiende indefinidamente.
Extremo derecho
:
— punto relleno (incluido).
Paso 5 · Otros puntos

Segundo trozo (Rojo):
para ![]()
Paso 1 · Cortes con los ejes
Corte con el eje
(hacemos
):
no pertenece al dominio de este trozo: no hay corte con el eje
.
Corte con el eje
(hacemos
):
No hay cortes con el eje
en el dominio de este trozo.
Paso 2 · Extremos del dominio
Extremo izquierdo
:
— punto hueco (excluido).
Extremo derecho
: la recta se extiende indefinidamente.
Punto adicional (necesitamos al menos 2 puntos para trazar la recta):
:
→ punto ![]()
Gráfica completa de la función a trozos