Representación gráfica de funciones
Representa gráficamente las siguientes funciones:
– a)
– b) ![]()
SOLUCIÓN
– a) 
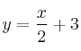
La función
es una recta.
Para dibujarla necesitamos dos puntos:
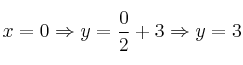
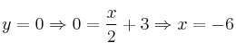
Si 
Si 

Dibujamos los puntos
y
y trazamos la recta.
– b) ![]()
La función
es una recta.
Para dibujarla necesitamos dos puntos:
Si ![]()
Si 

Dibujamos los puntos
y
y trazamos la recta.