Problemas de Geometría
Calcula el área y el perímetro de un trapecio rectángulo de bases 15 cm y 12 cm, sabiendo que su altura mide 4 cm
SOLUCIÓN:
En el trapecio rectángulo uno de sus lados es perpendicular a las bases
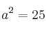
Después de hacer el dibujo nos fijamos en el triángulo rectángulo de la izquierda y aplicamos Pitágoras para calcular el lado desconocido
![]()
![]()
![]()

Calculamos el Perímetro:

Para calcular el área usamos la fórmula del área del trapecio


Si no recordamos la fórmula del área del trapecio, podemos calcularla sumando las áreas del rectángulo y del triángulo
![]()

![]()
Matemáticas IES