Problema de pastores y ovejas
Un pastor dice a otro: "Si me das cinco ovejas, los dos tendremos la misma cantidad". El segundo responde: "Dame tú 10 y así yo tendré el doble que tú". ¿Cuántas ovejas tiene cada uno?
SOLUCIÓN:
Supongamos que el número de ovejas que tiene cada pastor es:
– Pastor
ovejas
– Pastor
ovejas
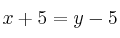
Pastor A dice "si me das 5 tendremos la misma cantidad"
Después de darle 5 ovejas tendrían:
– Pastor
ovejas
– Pastor
ovejas
Igualamos:
![]()
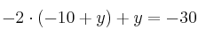
Pastor B dice "si me das 10 tendré el doble que tú"
Después de darle 10 ovejas tendrían:
– Pastor
ovejas
– Pastor
ovejas
![]()
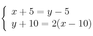
Resolvemos el sistema formado por las dos ecuaciones:
Quitamos paréntesis y ordenamos las ecuaciones
Resolvemos por sustitución (se puede usar cualquier otro método)
Despejo en la 1ª ecuación:
![]()
Sustituyo en la 2ª ecuación:
![]()
![]()

![]()

Solución:
– El pastor A tiene 40 ovejas
– El pastor B tiene 50 ovejas
Matemáticas IES