Problema Geometría
El maletero de un coche, de forma de ortoedro, tiene unas dimensiones de 2 metros de largo, 1 metro de ancho y 80 cm. de alto. ¿Podemos meter en el maletero una barra de madera de 260 cm. de larga?
SOLUCIÓN:
La máxima distancia sería la diagonal
del ortoedro.
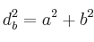
Para calcularla debemos calcular antes la diagonal de la base ![]()
Aplicamos Pitágoras
![]()
![]()
![]()

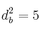
Ahora nos fijamos en el triángulo rectángulo verde y calculamos la diagonal del ortoedro
Aplicamos Pitágoras

![]()
![]()

Por tanto, no caberá una barra de 2.60
Matemáticas IES