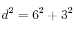
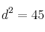
Pitágoras. Diagonal de un rectángulo Martes 22 de abril de 2008, por dani | geometría pitágoras Ejercicios_Resueltos Calcula la diagonal de un rectángulo de lados 3m y 6 m. SOLUCIÓN: La diagonal mide , aproximadamente