Operaciones con fracciones
Opera y simplifica:

SOLUCIÓN:
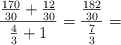
Hacemos primero las operaciones entre paréntesis:
![]()
![]()
![]()
A continuación hacemos productos y cocientes
![]()
![]()
![]()
Opera y simplifica:

SOLUCIÓN:
Hacemos primero las operaciones entre paréntesis:
![]()
![]()
![]()
A continuación hacemos productos y cocientes
![]()
![]()
![]()