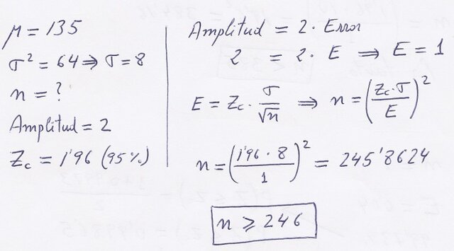
Obtener el tamaño de la muestra Domingo 19 de mayo de 2013, por dani | estadística inferencia Ejercicios_Resueltos intervalo_confianza_media La estatura media de los niños de 10 años en España es de , con una varianza de . Calcula el tamaño de muestra necesario para que el intervalo de confianza al de la media muestral tenga una amplitud de . SOLUCIÓN: SOLUCIÓN