Geometría. Áreas
Calcula el área de un pentágono regular de 8 mm de lado y 5.5 mm de apotema. Expresa el resultado en centímetros cuadrados
SOLUCIÓN
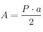
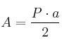
El área de un polígono regular se puede calcular con la fórmula:

donde "P" es el Perímetro y "a" la apotema
El perímetro de pentágono es
El área será:
