Factorizar polinomios paso a paso
Factoriza los siguientes polinomios:
a) ![]()
b) ![]()
c) ![]()
SOLUCIÓN
Debemos recordar las Técnicas para factorizar polinomios
La primera de las técnicas en usar debe ser la de sacar factor común.
Si no hay factor común probamos igualdades notables o resolver la ecuación de segundo grado. Si no es posible, probamos finalmente Ruffini.
a) ![]()
Sacamos factor común
![]()
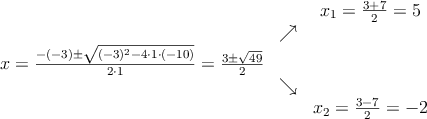
Resolvemos la ecuación de 2º grado ![]()

Por tanto ![]()
El polinomio factorizado quedaría:
![]()
b) ![]()
Sacamos factor común: ![]()
Aplicamos igualdades notables
![]()
c) ![]()
Dado que no podemos sacar factor común, al ser de tercer grado, debemos pasar directamente a Ruffini
![\polyhornerscheme[x=1,resultstyle=\color{red},resultbottomrule,resultleftrule,resultrightrule]{x^3+4x^2+x-6} \polyhornerscheme[x=1,resultstyle=\color{red},resultbottomrule,resultleftrule,resultrightrule]{x^3+4x^2+x-6}](local/cache-TeX/2bdbfbf20bc95b55fa0a54024441d3b6.png)
Significa que el polinomio se puede expresar así:
![]()
Para factorizar el
1) seguir por Ruffini
2) resolver la ecuación de 2º grado
Lo haremos resolviendo la ecuación

Lo que significa que
, con lo que el polinomio totalmente factorizado quedaría así:
![]()
Mensajes
2 de diciembre de 2022, 17:15, por patricia
en el c también se puede hacer con -2
y el resultado final es
x1-(-2)
x2-(-1)
x3-(-3)
y todo seria
1(x+2)(x+1)(x+1)
2 de diciembre de 2022, 19:02, por dani
Aunque empieces con -2 el resultado final será siempre el mismo (x+2)·(x-1)·(x+3)