Factorizar Polinomios Segundo Grado
Factoriza los siguientes polinomios:
–
–
–
–
– ![]()
SOLUCIÓN:
– ![]()

– ![]()
– ![]()
–
No se puede factorizar
– ![]()
Factoriza los siguientes polinomios:
–
–
–
–
– ![]()
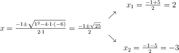
SOLUCIÓN:
– ![]()

– ![]()
– ![]()
–
No se puede factorizar
– ![]()