Navega sin publicidad Regístrate GRATIS

EvAU Aragón Junio 2019 B

diagrama_de_árbolEjercicios_Resueltosprobabilidad

En la localidad almeriense de Pulpí el 49.3% de los habitantes son hombres, de los cuales el 80.9% tienen menos de 65 años. Hay un 75.9% de mujeres con menos de 65 años.

a) Elegimos un habitante al azar. Calcula la probabilidad de que sea una mujer de menos de 65 años
b) Elegimos un habitante al azar. Calcula la probabilidad de que tenga menos de 65 años
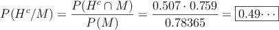
c) Elegimos un habitante al azar de entre los que tienen menos de 65 años. Calcula la probabilidad de que sea mujer
d) Elegimos tres habitantes al azar (con reemplazamiento). Calcula la probabilidad de que al menos uno de los tres sea mujer.

SOLUCIÓN

Consideramos los sucesos:

H \longrightarrow "ser Hombre"
M \longrightarrow "tener menos de 65 años"

a) P(H^c \cap M) = 0.507 \cdot 0.759 = \fbox{0.384813}

b) P(M) = 0.493 \cdot 0.809 + 0.507 \cdot 0.759 = \fbox{0.78365}

c) P(H^c/M)=\frac{P(H^c \cap M)}{P(M)}= \frac{0.507 \cdot 0.759}{0.78365}= \fbox{0.49\cdots}

d) Nos piden el contrario a elegir tres hombres
1 - (0.493 \cdot 0.493 \cdot 0.493) = \fbox{0.88 \cdots}

Comentar el ejercicio