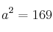
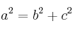
Ejercicios Teorema de Pitágoras Viernes 14 de diciembre de 2012, por dani | geometría triángulos pitágoras Ejercicios_Resueltos Calcula la hipotenusa de un triángulo rectángulo cuyos catetos miden 5 cm. y 12 cm. SOLUCIÓN: Aplicando el Teorema de Pitágoras: En nuestro ejemplo tendríamos: La hipotenusa mide