Ejercicio área bajo curva 3986
Calcula el área encerrada entre la función
y las rectas
y ![]()
SOLUCIÓN:
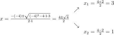
Calculamos los puntos de corte con el eje OX
![]()
Una solución es ![]()
Resolvemos la ecuación
y obtenemos

Por tanto los punto de corte son ![]()
Entonces el área es:
![]()
![]()
![]()
![\left[ \frac{x^4}{4}-\frac{4x^3}{3}+\frac{3x^2}{2} \right]_3^4=\left( \right)-\left( \right)=\frac{8}{3} - \frac{-9}{4}=\frac{59}{12} \left[ \frac{x^4}{4}-\frac{4x^3}{3}+\frac{3x^2}{2} \right]_3^4=\left( \right)-\left( \right)=\frac{8}{3} - \frac{-9}{4}=\frac{59}{12}](local/cache-vignettes/L352xH50/82adafb485611ab03c1a7f258c9e1e92-c6edf.png?1688106567)
![]()
Matemáticas IES