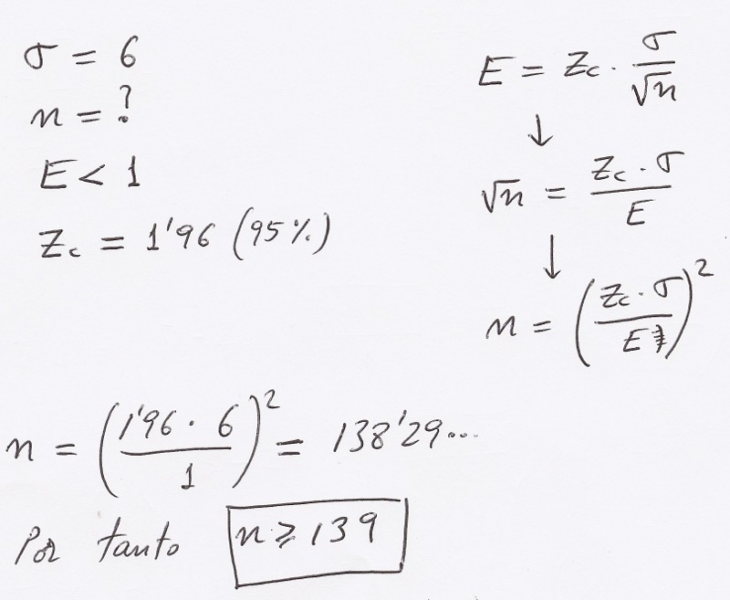
Ejercicio Tamaño Muestra
Se sabe que la desviación típica del peso de los individuos de cierta población es 6 kg.
Calcula el tamaño de la muestra que se ha de considerar para, con un nivel de confianza del 95 %, estimar el peso medio con un error inferior a 1 kg.
