Ejercicio Producto de Monomios

, por dani

Realiza las siguientes operaciones con monomios:
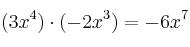
 (3x^4) \cdot (-2x^3)=
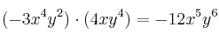
 (-3x^4y^2) \cdot (4xy^4)=
 (-x^3ay^4) \cdot (-3xb^2y^3)=

SOLUCIÓN:

 (3x^4) \cdot (-2x^3)= -6x^7
 (-3x^4y^2) \cdot (4xy^4)=-12x^5y^6
 (-x^3ay^4) \cdot (-3xb^2y^3)=3x^4y^7ab^2